发布时间:2020-09-17
改变人类历史的17大方程,数学就是宇宙最美的语言,
在笔者看来,宇宙中的通用语言有两种,一种是数学,另一种是艺术。数学以最简洁的方式,把复杂的宇宙现象和规律淋漓尽致的展现出来,正所谓宇宙不言,大美如斯!在2013年,数学家和科普作家Ian Stewart 发表了他的著作——《改变世界的17个方程》,向大家诠释了人类历史上最伟大的17个方程。现在我们就一起来欣赏一下宇宙最美的语言!
1.勾股定理

勾股定理想必大家再熟悉不过了,这是数学里最基本的公式之一,描述的是直角三角形三条边长的关系。“勾三股四弦五”读起来可谓朗朗上口。
2.对数函数

对数函数是指数函数的逆向,它可以帮助我们解决要以某个数字为底,通过指数爆炸得到一个数,需要多少次方这样的问题。而方程log(ab) = log(a) + log(b)是对数函数中至关重要的一个,它竟然实现了“乘法”和“加法”的相互转化。在计算机技术的发展过程中,这对物理学、天文学以及工程中的运算速度的提升起到了重要作用。
3.微分方程

这个方程给出了微积分中导数的概念,导数描述的是函数的局部性质,某一点的导数描述的是函数在该点附近的变化率。比如,你想知道某个物体在某个时刻的速度,那么只要求出路程方程在该点的导数,你想知道某个物体在某个时刻的加速度,则只要求出速度方程在该点的导数。在科学研究中,了解一个事件的变化状态是至关重要的,因此该方程的意义可想而知。
4.万有引力定律

那个被苹果砸中的男人,一不小心就发现了这个伟大的方程。这可以称得上是17世纪最伟大的科学成就,是人类科学史上的一座丰碑。它将地面运动与天体运动做了统一,几乎完美的保持了200多年,直到一个叫爱因斯坦的男人提出了广义相对论。
5.虚数

数学的范畴在一如既往地扩张,从自然数到负数、分数,再到实数虚数……虚数这个名词是由17世纪著名的数学家笛卡尔创立的。实数与虚数共同引出了复数(a+bi)的概念。在数学上,复数可谓精妙绝伦,将微积分扩展到复数范畴时,我们发现了数学惊人的对称性和其他一些性质。这些特性在电信号处理中起到了重要作用。
6.欧拉多面体公式

这个公式描述的是多面体的一个特性,式中V表示多面体的顶点数,E表示棱数,F表示面数。该公式最直观的意义就是描述了一个基本的数学规律,更重要的是其引入了一门新的几何学——扑拓学,并成为对现代物理学意义重大的一个数学分支。
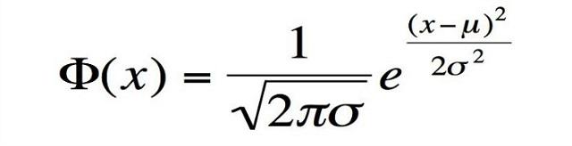
7.正态分布函数

正态分布函数的图像有一个明显的特征——中间高两边低,呈对称分布,就像一座山峰。在统计学中,正态分布函数可谓无处不在,在物理学、生物学和社会科学中应用甚广。该函数如此常用的原因之一是因为它描述的是大量独立过程的行为。
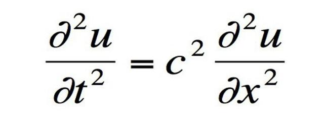
8.波动方程

波动方程是由麦克斯韦方程组推出的一个描述波动现象的微分方程。该方程的物理意义巨大,它启发了爱因斯坦提出狭义相对论。
9.傅里叶变换

对于了解一个更加复杂的波,我们就不得不借助傅里叶变换。傅里叶变换可以将满足某些条件的杂乱的方程分解成若干三角函数或它们的积分的线性组合,起到了大大简化的作用。傅里叶变换是现代信号处理与分析的核心。
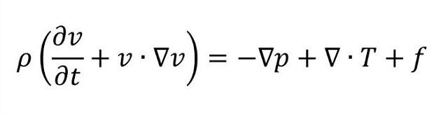
10.纳维-斯托克斯方程

类似波动方程,这也是一个微分方程,描述的是流体的一些特性,适用于建立流体模型。计算机技术的进步使得纳维-斯托克斯方程的求解得到了实质意义的发展。
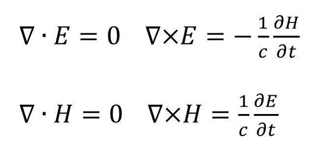
11.麦克斯韦方程组

麦克斯韦方程组是19世纪中最伟大的发现之一,展现了电场与磁场相互转换过程中优美的对称性。这个方程组由描述电荷如何产生电场的高斯定律、论述磁单极子不存在的高斯磁定律、描述电流和时变电场怎样产生磁场的麦克斯韦-安培定律、描述时变磁场如何产生电场的法拉第感应定律4个方程组成。麦克斯韦方程组属于经典电磁学,适用于描述宏观的现象,但涉及到微观领域时,需要考虑到量子效应的影响,从而要引入量子力学来解释。
12.热力学第二定律

首先申明,这个公式不是“屌丝大于等于零”的意思,这是伟大的热力学第二定律。其表现之一就是在一个封闭的系统中,熵只会保持稳定或增加,不可能减少。由此还推出了描述整个宇宙的“热寂论”,表明宇宙随着熵的不断增加,最终会达到一个一片死寂的永恒状态。
13.质能方程

爱因斯坦或许是上帝派来地球的使者,他的理论完全颠覆了人类的世界观,从根本上改变了物理学的走向。质能方程创造性的指出了质量与能量之间的关系,这对原子弹的发展起到了关键性的作用!BOOM!!!
14.薛定谔方程

薛定谔那只既死又活的猫大家都再熟悉不过了,薛定谔方程是量子力学中的重要公式。广义相对论解释了宇宙中宏观现象,该方程则适用于微观世界,可用于描述原子和亚原子的行为。现代量子力学和广义相对论是历史上最成功的两套理论,它们成功预测了目前我们观察到的所有现象。量子力学是现代技术必不可少的,诸如核能、半导体电脑和激光等都建立在量子现象的基础之上。
15.信息论

上面的方程是由香农提出的信息熵,和之前提到的热力学熵一样,这也是一个用于描述无序的量。我们常说信息量很大,但是到底有多大?直到1948年,“信息熵”的概念的提出,才解决了对信息的量化的问题,使得可以对信息开展数学研究。说真的,我们能在互联网上如此欢快地玩耍还得感谢它!
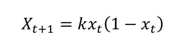
16.混沌理论

这个方程描述的是动态系统中,一段时间后某个量的变化结果(Xt+1),与其现在的状态(Xt)有关。其中,k是特定的常数,对于k已确定的情况下,初始值x不同,事件的发展也大为不同。相信蝴蝶效应大家都很了解,这就是混沌理论的一种表现。也许,某天你不小心放了一个屁,会引起美国华盛顿的一场暴风。
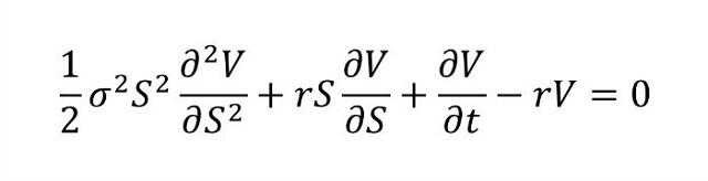
17.布莱克-斯科尔斯方程

这又是一个微分方程,用于描述金融专家和交易者如何对衍生性金融产品(诸如股票、债券、货币、和商品)进行定价,这对金融从业人士提供了有力的指导与帮助。

看完这些,也许你觉得好些似曾相识,好些不明觉厉或者看到头大。但有一点可以肯定的是,抛开数学深奥的内涵,其在形式上是如此之美,简洁而神秘!
ps:竟然漏了欧拉恒等式—— e^(iπ) + 1 = 0!欧拉恒等式把数学中5个最基本的常数用最简洁的方式连接在了一起,没有半分多余,这绝对是史上最美的数学公式,没有之一!
以上就是关于改变人类历史的17大方程,数学就是宇宙最美的语言的基本内容,更多相关信息,请关注www.5d.ink
全站搜索